书艺公社

 找回密码
 快速注册

快捷登录

搜索

正在浏览本主题的会员 - 0 在线 - 0 会员(0 隐身), 0 游客

  • 只有游客在线
查看: 3046|回复: 3

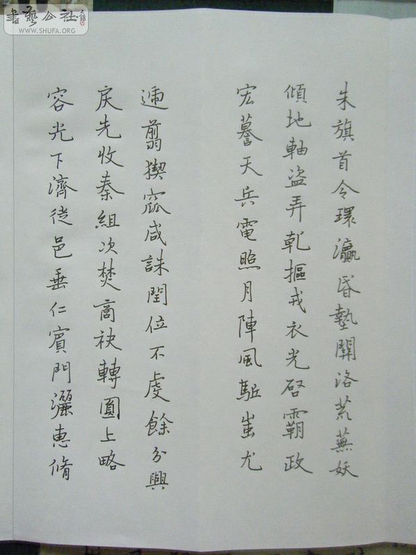
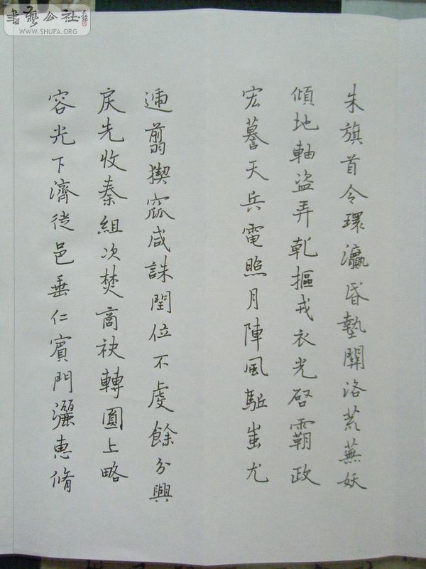
硬笔临唐褚遂良《文皇哀册》(1)

[复制链接]
发表于 2010-9-4 15:54 | 显示全部楼层 |阅读模式

马上注册,结交更多好友,享用更多功能,让你轻松玩转社区。

您需要 登录 才可以下载或查看,没有账号?快速注册

x
本帖最后由 贺家老大 于 2010-9-4 16:02 编辑

敬请砸砖em24

DSCF7212.JPG

DSCF7225.JPG

DSCF7226.JPG

DSCF7214.JPG

DSCF7215.JPG

DSCF7216.JPG

DSCF7217.JPG

DSCF7218.JPG

DSCF7219.JPG

DSCF7220.JPG

DSCF7221.JPG

DSCF7218.JPG

DSCF7219.JPG

DSCF7220.JPG

DSCF7221.JPG

DSCF7222.JPG

DSCF7223.JPG

DSCF7224.JPG

DSCF7227.JPG

DSCF7228.JPG

DSCF7229.JPG

DSCF7230.JPG

DSCF7231.JPG

DSCF7232.JPG

DSCF7233.JPG

DSCF7234.JPG

DSCF7235.JPG

DSCF7236.JPG

DSCF7237.JPG

DSCF7238.JPG

DSCF7239.JPG
发表于 2010-9-7 11:30 | 显示全部楼层
高水平,顶:)
回复 支持 反对

使用道具 举报

发表于 2010-9-13 20:10 | 显示全部楼层
em13em27
回复 支持 反对

使用道具 举报

 楼主| 发表于 2010-9-14 17:48 | 显示全部楼层
多谢两位秀才
回复 支持 反对

使用道具 举报

您需要登录后才可以回帖 登录 | 快速注册

本版积分规则

本站网友发表的所有内容,均为原作者的观点,不代表书艺公社的立场及价值判断。
网友发表评论须遵守中华人民共和国各项有关法律法规;尊重网上道德,严禁发表侮辱、诽谤、教唆、淫秽内容;
承担一切因您的行为而直接或间接引起的法律责任;您在书艺公社论坛发表的言论,书艺公社有权在自身所属的网站、微信平台、自媒体等渠道保留、转载、引用或者删除;
参与论坛发帖及评论即表明您已经阅读并接受上述条款。

·版权所有2002-2019·书艺公社网(SHUFA.org) ·中国·北京·
Copyright 2002-2019 SHUFA.org, All rights reserved.
电子邮件:shufa2008@126.com

甲骨汉字对应表 | 说文解字注速查表 | 繁简字转换表 | 干支公元对照表 | 岁时表 | 常用礼语 | 中国历代年号速查表
广告服务 | 联系方式