书艺公社

 找回密码
 快速注册

快捷登录

搜索

正在浏览本主题的会员 - 0 在线 - 0 会员(0 隐身), 0 游客

  • 只有游客在线
查看: 16046|回复: 31

普定三人行(求批作品)

  [复制链接]
发表于 2010-12-12 23:07 | 显示全部楼层 |阅读模式

马上注册,结交更多好友,享用更多功能,让你轻松玩转社区。

您需要 登录 才可以下载或查看,没有账号?快速注册

x
本帖最后由 吴平平 于 2010-12-13 21:13 编辑

                           普定三人行(求批作品)


普定位于黔中腹地,说来奇怪。这块贫瘠蛮夷之地居然诞生了书法家任可澄、著名画家袁晓岑、袁熙坤父子、著名美学家、武汉大学资深教授刘纲纪。这些老先生们的不菲成绩让我们后辈望尘莫及。叶城铭、张洪荣、吴贤也是普定人,在前贤的感染和熏陶下,我们虽然生活在不同的城市,工作在不同的岗位,但是我们都有一颗共同的心:那就是对书法艺术同怀一颗虔诚的心、炽烈的心,向往的心。对书法艺术的追求,在任何情况下都不言放弃,城铭兄虽然为了生计四处奔波劳累,可不曾丢下手中的笔,洪荣兄虽然工作很繁忙、也不曾停止探索的脚步。我虽然有案牍之劳形,也不敢忘记争分夺秒。

即便如此,我们的努力很苍白、进步很慢、成绩很小、毛病很多。今天,斗胆不揣浅陋,把拙作拿出来,希望能得到各位书法专家、教育家、学者、爱好者们的斧正和批评,兴许,你的一句点拨、一次鞭策、一块抛砖,将是我们一生的珍贵财富,我们将感激涕零!

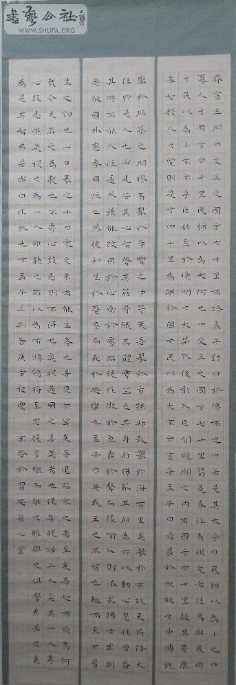
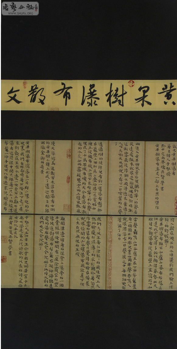
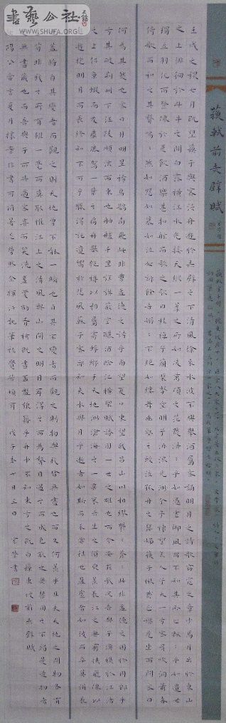
叶城铭:男、汉、1966年生,中国书法家协会会员,安顺市书法家协会会员,入展第九届全国展,全国第三届兰亭展,第六届楹联展,首届西部展。

张洪荣: 男、汉族、1978年生,贵州省书协会员,安顺市书协会员,普定书协秘书长。入展第一、二届西部展,获第二、三届国际“永乐宫”杯书画大赛百佳奖。

吴贤:男、汉族、1980年生,中国书法家协会会员,贵州省书协会员,兰亭书画会会员,颜真卿研究会会员。安顺市书协理事,普定书协副主席,入展第九届全国展,纪念虞世南诞辰1455周年全国书法展。

更多图片 小图 大图
组图打开中,请稍候......
发表于 2010-12-13 08:58 | 显示全部楼层
em1
学习!!!{:1_193:}
回复 支持 反对

使用道具 举报

发表于 2010-12-13 09:19 | 显示全部楼层
em1em1em1
回复 支持 反对

使用道具 举报

发表于 2010-12-13 22:48 | 显示全部楼层
不错!普定书法界的三匹‘黑马’!!!!em1em1
回复 支持 反对

使用道具 举报

发表于 2010-12-14 11:23 | 显示全部楼层
em1学习em1
回复 支持 反对

使用道具 举报

发表于 2010-12-14 18:34 | 显示全部楼层
太帅了,普定书法界的“三剑客”。威严的学习,深刻的学习,微笑的学习!
叶城铭先生沉着古淡,张宏荣先生潇洒飘逸,吴贤先生激情飘荡!
回复 支持 反对

使用道具 举报

发表于 2010-12-15 09:27 | 显示全部楼层
em1em1
回复 支持 反对

使用道具 举报

发表于 2010-12-15 11:04 | 显示全部楼层
em1{:1_203:}
回复 支持 反对

使用道具 举报

发表于 2010-12-15 16:56 | 显示全部楼层
张宏荣的东东越来越精到了
回复 支持 反对

使用道具 举报

发表于 2010-12-15 20:58 | 显示全部楼层
好em1em1em1
回复 支持 反对

使用道具 举报

您需要登录后才可以回帖 登录 | 快速注册

本版积分规则

本站网友发表的所有内容,均为原作者的观点,不代表书艺公社的立场及价值判断。
网友发表评论须遵守中华人民共和国各项有关法律法规;尊重网上道德,严禁发表侮辱、诽谤、教唆、淫秽内容;
承担一切因您的行为而直接或间接引起的法律责任;您在书艺公社论坛发表的言论,书艺公社有权在自身所属的网站、微信平台、自媒体等渠道保留、转载、引用或者删除;
参与论坛发帖及评论即表明您已经阅读并接受上述条款。

·版权所有2002-2019·书艺公社网(SHUFA.org) ·中国·北京·
Copyright 2002-2019 SHUFA.org, All rights reserved.
电子邮件:shufa2008@126.com

甲骨汉字对应表 | 说文解字注速查表 | 繁简字转换表 | 干支公元对照表 | 岁时表 | 常用礼语 | 中国历代年号速查表
广告服务 | 联系方式