书艺公社

 找回密码
 快速注册

快捷登录

搜索

正在浏览本主题的会员 - 0 在线 - 0 会员(0 隐身), 0 游客

  • 只有游客在线
查看: 16708|回复: 2

【六十五年前的9月9日】日本投降签字仪式

[复制链接]
发表于 2010-9-9 15:54 | 显示全部楼层 |阅读模式

马上注册,结交更多好友,享用更多功能,让你轻松玩转社区。

您需要 登录 才可以下载或查看,没有账号?快速注册

x
【六十五年前的9月9日】日本投降签字仪式 1945.9.9
1945.9.9.jpg
 楼主| 发表于 2010-9-9 15:57 | 显示全部楼层
本帖最后由 纪伟 于 2010-9-9 16:13 编辑

日本降书
01..1945.9.9.jpg
02..1945.9.9.a.jpg
03..1945.9.9.c.jpg
04..1945.9.9.d.jpg
05..1945.9.9.b.jpg
06..1945.9.9.e.jpg
回复 支持 反对

使用道具 举报

 楼主| 发表于 2010-9-9 16:01 | 显示全部楼层
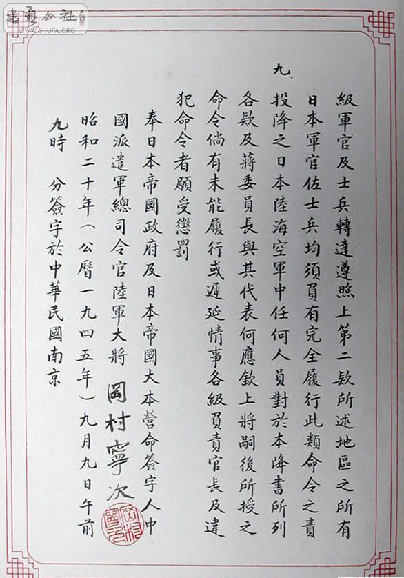
日本降书
一、日本帝国政府及日本帝国大本营已向联合国最高统帅无条件投降。
二、联合国最高统帅第一号命令规定「在中华民国(东三省除外)、台湾与越南北纬十六度以北地区内之日本全部陆海空军与辅助部队应向蒋委员长投降」。
三、吾等在上述区域内之全部日本陆海空军及辅助部队之将领率领所属部队向蒋委员长无条件投降。
四、本官当立即命令所有上第二款所述区域内之全部日本陆海空军各级指挥官及其所属部队与所控制之部队向蒋委员长特派受降代表中国战区中国陆军总司令何应钦上将及何应钦上将指定之各地区受降主管投降。
五、投降之全部日本陆海空军立即停止敌对行动暂留原地待命所有武器弹药装具器材补给品情报资料地图文献档案及其它一切资产等当暂时保管所有航空器及飞行场一切设备舰艇船舶车辆码头工厂仓库及一切建筑物以及现在上第二款所述地区内日本陆海空军或其控制之部队所有或所控制之军用民用财产亦均保持完整全部待缴于蒋委员长及其代表何应钦上将指定之部队长及政府机关代表接收。
六、上第二款所述区域内日本陆海空军所俘联合国战俘及拘留之人民立予释放并保护送至指定地点。
七、自此后所有上第二款所述区域内日本陆海空军当即服从蒋委员长之节制并接受蒋委员长及其代表何应钦上将所颁发之命令。
八、本官对本降书所列各款及蒋委员长与其代表何应钦上将以后对投降日军所颁发之命令当立即对各级军官及士兵转达遵照上第二款所述地区之所有日本军官佐士兵均需负有完全履行此类命令之责。
九、投降之日本陆海空军中任何人员对于本降书所列各款及蒋委员长与其代表何应钦上将嗣后所授之命令倘有未能履行或迟延情事各级负责官长及违犯命令者愿受惩罚。
奉日本帝国政府及日本帝国大本营命签字人
中国派遣军宗司令官  陆军大将冈村宁次
昭和二十年(公历一九四五年)九月九日午前九时分签字于中华民国南京
代表中华民国美利坚合众国大不列颠联合王国苏维埃社会主义共和国联邦并为对日本作战之其它联合国之利益接受本降书于中华民国三十四年(公历一九四五年)九月九日午前九时分在中华民国南京
中国战区最高统帅特级少将蒋中正特派代表
中国陆军总司令陆军一级上将 何应钦
回复 支持 反对

使用道具 举报

您需要登录后才可以回帖 登录 | 快速注册

本版积分规则

本站网友发表的所有内容,均为原作者的观点,不代表书艺公社的立场及价值判断。
网友发表评论须遵守中华人民共和国各项有关法律法规;尊重网上道德,严禁发表侮辱、诽谤、教唆、淫秽内容;
承担一切因您的行为而直接或间接引起的法律责任;您在书艺公社论坛发表的言论,书艺公社有权在自身所属的网站、微信平台、自媒体等渠道保留、转载、引用或者删除;
参与论坛发帖及评论即表明您已经阅读并接受上述条款。

·版权所有2002-2019·书艺公社网(SHUFA.org) ·中国·北京·
Copyright 2002-2019 SHUFA.org, All rights reserved.
电子邮件:shufa2008@126.com

甲骨汉字对应表 | 说文解字注速查表 | 繁简字转换表 | 干支公元对照表 | 岁时表 | 常用礼语 | 中国历代年号速查表
广告服务 | 联系方式