书艺公社

 找回密码
 快速注册

快捷登录

搜索

正在浏览本主题的会员 - 0 在线 - 0 会员(0 隐身), 0 游客

  • 只有游客在线
查看: 18887|回复: 25

[讯息] ■■■■钟国康篆刻(集)西泠印社出版社 出版发行

  [复制链接]
发表于 2010-9-26 16:40 | 显示全部楼层 |阅读模式

马上注册,结交更多好友,享用更多功能,让你轻松玩转社区。

您需要 登录 才可以下载或查看,没有账号?快速注册

x
本帖最后由 钟国康 于 2010-11-16 17:02 编辑

■■■■钟国康篆刻(集)西泠印社出版社 出版发行
7588565372140016454.jpg
19905910352998225135.jpg
16249550405520286005.jpg
 楼主| 发表于 2010-9-26 16:43 | 显示全部楼层
本帖最后由 钟国康 于 2010-11-16 17:05 编辑

图书在版编目(CIP)数据

出版社:西泠印社出版社

书号:  9787807357513
书名:  钟国康篆刻
价格:  800 元
类型:  篆刻>>历代名家印谱系列   
开本:  16
出版时间:  2010.5
877638977385698178.jpg
回复 支持 反对

使用道具 举报

发表于 2010-9-26 17:15 | 显示全部楼层
em1em1
回复 支持 反对

使用道具 举报

 楼主| 发表于 2010-9-27 23:24 | 显示全部楼层
本帖最后由 钟国康 于 2010-11-16 17:09 编辑

序一                                 
                  薛永年
      钟国康者,岭南之奇人也。生于雷州,侨寓深圳。高居七楼,室号寄缶庐,四壁悬书法,柜案列千章,令人目眩神迷,如进七宝楼台。而居恒无定,于番禺有三贤堂,羊城亦有居所,故贸然造访者,每望门墙而去。本工绘事,然深藏不露,唯以毛颖铁笔闻名朝野。其京中友人刘君彦湖,与余同事,雅擅金石,尝称其能,并做曹丘,因得以相识也。
      国康其人,发浓黑,须数茎,短小精悍,身似晏婴,形容羸弱,而精力弥满。不衫不履,似落拓,亦似潇洒。室内戴墨镜,赴宴着短裤,衣襟之墨痕印色赫然,手机之长绳春蚓秋蛇,似若不修边幅,而实寓设计意匠。而于嵌名对联,精巧雅正,早已有声文林。所作装帧包装,更极尽巧密精思。一望而知,此公乃深谙当代**种种,又善出奇兵之现代书家印人也。
      其人语速极快,如弹发连珠。相与论印学,初不言传统,而自美其美。讥刺今古印人,淋漓酣畅。标举自家艺术,雄谈自信。尝曰:“吾之印殊少解人,唯上诉真宰耳!”乍闻其言,觉出语轻狂,而相谈有顷,轻狂之感顿无,善学深思之诣遂显。盖不独能见古今诸家之短,尤能会古哲今贤之长,取舍前修,推陈出新,其思维辩证,识超见灼,故独具手眼。余不禁叹曰:“昔米元章谓英雄欺人,实欺附庸风雅无学而好事者耳。”
      治印一道,由来久矣,本于昭信实用,发为艺术审美。秦汉以来,与时俱进,明清以降,复与书画齐驱。本于六书,而小变篆隶体势,分朱布白,而考究疏密参差。刀法兼之笔意,锋芒迸于美石。妙师造化,发自灵台,笼天地于方寸,挫万象于刀锋。历代名家辈出,晚近流派蜂起,各擅其妙,极少雷同。故世称金石之学,原系考校文字,迨至清代,亦以涵括治印。此独特之艺术,早与书画并美,实吾华艺术之独创,民族文化之奇葩,而泽被东亚万方者也。
      观夫印学典范,真如千峰竞秀,百派分流。或繁丽如群星布天,或灿烂若万花齐放,或淡冶似春风舒卷,或蒙胧近烟霏雾结,或豪放如骏马脱缰,或神奇如惊雷闪电。意象关乎世情,风调系乎情性。故千变万化,面貌各殊,与时俱进,至今尤然。古来交通不便,治印每囿于地域风习,时下开放搞活,印人多耽于抽象表现。彼国康者,贵能超越地域之井底,逐鹿古今大家于中原。此固在眼界开阔,目标高远,若非积数十年艺舟推移之力,又何能此日中流自在哉。
      岭南印学,盛于乾嘉,黎、谢开其先路,诸家踵继其后。二樵治印,出自秦汉,间以隶书入印,古朴峻傥。云隐铁笔,溯源秦汉,承接元人,雅正淳古。其后虽有陈澧、孟鸿光、朱越生、何昆玉、梁星堂诸家争流竞秀,而名垂海内者,均不及黟山黄牧甫。黄氏佐吴愙斋主广雅书局,流寓羊城,钻研金石,篆刻初学吴熙载,后转攻秦汉玺印,平正中见错落,含蓄中寓刚健,用拙于巧,不加修饰,异军突起于清末,影响岭南至大。邓尔雅、黄文宽,虽依违各家,各有所成,而深受黄氏之陶镕,旨趣尚妍雅,亦不容讳言也。
      然而,列宿垂天,大星夺目,印坛百家,巨匠夺人。揆诸近代印坛,允称独步千古者,唯赵悲盦、吴缶庐、黄牧甫与齐白石耳。而赵、黄秀雅,吴、齐豪放。岭南多传赵黄一脉,国康性近吴齐雄肆。弱冠即嗜篆刻,初生牛犊,铁笔纵横,不由门入,为求深造,乃拓印百痕,远赴广州,请教时贤,得黄文宽当头棒喝,遂焚膏继晷,潜入传统深处,研字学,究布白,穷笔意,探刀法,行将而立,篆刻已优入法度。个展开幕,求者如云,作品远行东亚西欧,日本书画篆刻家联盟聘为顾问,年方而立,已为中国书协会员焉。
      惟胸有远志,乃不息进取,需摒弃干扰,能深造求通。明乎此,国康遂摆脱俗物,闭关自处,十三载间,借径明清流派,参证秦玺汉印,放大各家印蜕,从容斟酌比较,探索时代气息,谋求印外融通。始悟完白、让之疏密婀娜,至缶庐而古厚雄浑。考敬身、小松之刀锋石味,至白石而淋漓痛快。故于吴齐雄健磅礴,心悦诚服。盖缶庐得益于石鼓封泥,用刀如笔,苍古雄浑,布白雅正参差,边栏完残互见,故气象浑成,雄视千载。白石取法**山,用将军印急就法,变曲为直,简化笔意,夸张收放,单刀侧入,天马行空,沉着痛快。以是,国康因白石堂名寄萍,昌硕斋号缶庐,乃合而为“寄缶”,自名其庐,盖欲囊括两家而更求开拓故也。
      历二十寒暑,钟氏印学卓然自成一家。盖取白石之肆而去其薄,取缶庐之雄而去其钝。合二氏之长,融多家之美,刚健益增婀娜,浑厚亦出锋芒。字法以斯篆为本,兼之缪篆、汉隶、旁参简体。笔意以篆为体,以魏碑、黑体、宋版、行草为用。刀法旁收博采,不拘一法,尤于天发神懺,多有会心。其印务求内圆外方,气足韵厚。白文分布,取汉印计白当黑,虚实以变使转,横斜以佐平直,倍觉笔阵之严,不乏壮怀之肆。朱文布白,取碑额镜铭变化,增其转折顿挫,有风舒云卷之逸,多浪遏飞舟之雄。更益以石门颂堂宇之宽博、王觉斯勾连映带之气脉,颜鲁公抱一守正之张力。其独特之风格遂炳耀乎诸家之外。
      赵悲盦曾有印跋曰:“古人有笔兼有墨,今人但见刀与石。”刀锋石味,每见诸西泠八家,有笔有墨,自赵吴更形自觉。唯水晕墨章,运于宣纸始见,石质坚实,发挥墨晕为难。以是晚近印人,知易行难,苦无良策。凡称有笔有墨者,不过笔意之筋骨肉毕具耳,鲜有得印中墨趣者。国康参白沙飞白之苍,取虹庐涨墨之润,出之以刀锋隐显与夫印石斑驳,更从印泥之粗细,钤盖之轻重,求飞白涨墨之趣。于是,治印之墨法乃备。其行刀如笔,或正或逆,或衝或切,亦单亦双,或沉稳,或跳跃,笔中见意,意外有墨,或精整如玉箸,或风化如古拓。清晰处为多,一如晴空朗月,模糊处辅之,又如兴云蕴雨。铁石变为生命,艺术赋予精神,不独筋骨肉停匀,精气神饱满,而宇宙大化之万千变化,亦现于方寸也。
      论者每云,国康印艺,变岭南之秀雅,成河朔之壮伟,气象浑成,磅礴恣肆,沉着痛快,生意勃发,一味霸悍,良有以也。然以余观之,国康之技,豪放寓乎沈雄,刚健兼之婀娜,庶几近乎道矣。道在自然,更在三易。三易之中,变易居首,不易奠后。羲献相传,古质今妍。而书为心画,古今不易。视觉经验,昔弱今强,而应目会心,千古同慨。国康初谓余曰,“吾之刻印,富现代感!”余质之曰:“何以见之?”答曰:“富张力,极动势,抒个性。”余辩之曰:“当代印人,莫不以此自鸣,而少入法眼者,何哉?君其无异乎? ”答曰:“吾以传统为庭庑,以新机为气韵也。”余始恍然曰,国康自谓之现代感,得非“质沿古意,文变今情”者乎!其“古不乖时,今不同弊” ,岂偶然哉?
     余尝论艺云:“天然功夫,如鸟两翼。传统得于功力,天然发自个性。无功夫之天然,何异小儿?失天然之传统,个性凋零。必也赖功夫而发个性,离习气而成风格也。”国康学力深厚,故铁笔纵横而不失准的,而其彰显个性,卓然成家,则始于择近代之高端,扬其长而补未逮,发前人之础润,弘诸己而滂沱。师造化之神奇,寓铁笔以生命。解诸艺之同理,求通常而达变。观风吹草动,入篆刻之微茫。见打铁截竹,纳张力于印学;思老藤苍苔,悟骨外有肉。比新旧影片,更觉时代有别。至于广告之简明、版画之黑白,凡所经历擅长与感悟者,一一纳之于篆刻。故其方寸之内,气象万千,铁笔奏处,风雷激荡,生命之***,精神之灿烂,无不现于腕下矣!
      余少小亦耽篆刻,及长专事赏鉴。著述书画,偶及印学,早已老眼昏花,篆刻荒疏亦久。不意国康谬认赏音,以新版印集即将付梓,关山千里,来京索序,扫榻深圳,倾谈既往。余遍览近作,惊其才艺非凡,闻其略历,钦其自学成才。偶然阅其旧谱,见已钩去若干,论其长短,亦谓朱文无稿操刀,正在知难而进。足见其严以律己,贵有自知也。国康岂狂人哉!乃略述己见,聊为引玉之砖,并谓国康曰:“高才年方知命,已名动遐迩,大展雄才,来日方长,金石寿永,勿以求索日众而忘其将传百代也!”国康曰:“然。”其百尺竿头更进一步,必矣!
111111.jpg
回复 支持 反对

使用道具 举报

 楼主| 发表于 2010-9-29 23:41 | 显示全部楼层
本帖最后由 钟国康 于 2010-11-16 17:13 编辑

序二
                 □贾平凹

         纪渻子为王养斗鸡,历久乃成,其鸡望之若木鸡,盖德已全,它鸡无敢应者。
      这个故事,我最先不是从《庄子》上读的,是钟国康告诉我的,他送了我一枚印:木鸡养到。
      钟国康是我十余年来见到的很奇怪的人。他凹目翘鼻,胡子稀疏,头发长,卷而油腻。老是穿黑衣。似乎背有点驼,前襟显长,后襟短促,一条线绳从领口拉挂在腰间,他说有这条线绳就生动了,其实拴着一个××。行走飘忽,有鬼气。
      他是位书家,用笔在宣纸上写字,用刀在印石上刻字。
      形状这般的孱弱,他应该低眉顺眼,应该寡言少语,但不,他始终不能安静,走来走去,好激动,表情丰富。不停地要说笑,边说边笑,边笑边说。我见过他在宣纸上写字,墨调的很稀,长锋笔戳过去,几乎是端着水墨,淅淅沥沥地就到了纸上,然后使很大的力和很大的动作,如武术一般,出奇的是墨是墨、水是水,有海风山骨的味道。那场景,能想象李白酒后作诗,李白可能很清高,很潇洒,他却几幅字写成,满身墨渍,尤其用卫生纸按拓,一团一团脏纸在地上丢下一层。在印石上刻字那就更疯了,眼镜往额上一推,好像让头上再多两只眼睛,然后掰块印石,看,看,看得印石都羞了,猛地从怀里掏出刀来,别人的刀都是一乍长的,他的刀一指粗半尺长,简直就是钢凿子!咔,咔,咔,他讲究节奏。他刻印的时候大家都围上来,不敢出声,他却好为人师,讲为什么这个字这样结构,这一刀处理有什么含义,怎么会出现这种的效果啊,他哇哇大叫,为自己得意。
      他从来都是自负的,眼里无一人无一物能碍,却同时又都以他括囊。仰观象于玄表,俯察式于群形,他正经地告诉我,他要活到九十以上,他要年年把一些东西加进他的艺术里。我不能准确地读出他有哪些突破有哪些局限,但我在他的书法里读出了金石味,在他的印刻里又读出了毛毫、水墨甚至宣纸的感觉,其宣纸上印石的作品雄沉豪放,感情充沛,生命蓬勃。
      关于他**上有许多传言,说他相貌奇异,举止常出人意料。说他饭量极少,精神张狂。说他自制墨和印泥,弄得屋里臭气不散。说他外出开会,车厢就是放一筐印石,三五天回来那印石全刻了,然后一筐一筐的作品就存封在那一间专门的房里。说他**。说来求印的,一枚印二万,若讨价,就二万五,再讨价,就三万,还要讨,便起身送客了。说现在有许多人在**上收集他的旧印,有收集到一百枚的,有收集到二百枚的,还在收集。说有大老板正筹划给他建艺术馆。
      我看着他,总想:这是个什么人呀,可能前世是钟馗,今世才一身鬼气,又邪而正,正而大吗,或许是关公门下吧,玩的是小刀,使的却是大刀的气势?
      我也送他了一幅书法:木鸡养到。
22222222222222.jpg
回复 支持 反对

使用道具 举报

 楼主| 发表于 2010-9-30 10:31 | 显示全部楼层
本帖最后由 钟国康 于 2010-11-16 17:15 编辑

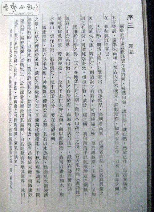
序三
               罗韬

         国康于印坛并世诸贤少所许可,或讥曰做,讥曰弱,讥曰熟;然于己作,每拍案称奇,不吝誉词,常擎朱而叹,恨古人之不我见。谛观所作,知其心目之中,自有三百年之绳尺在,非徒佯狂自喜也。
      夫印学自明清以降,巨擘辈出,流派纷呈,高明者尚气,沉潜者尚韵,而各具异量之美。至于吴缶庐、齐白石,则犹词之有苏辛,可谓纯阳立极;至于赵叔孺、王福厂,又如词之有周吴,可谓纯阴尽致。后世才贤,欲效一跃之鳞,将何所透乎此乾成坤定之网欤!
      国康于印学之得,正不在刚柔门户之别,而悟入山海不二之境。昔苦瓜和尚《画语录》曾言,山含海势、海具山致,“山之自居于海,而海亦自居于山” ;钱默存咏雪窦山诗,于此更取象申意,发挥几尽,一反夫子山仁水智之辨。而以此观物,直可以画山如水,勒水如山,云作石写,石作云勾,泯乎刚柔之分,要在动静相转。
      国康治印,其刀以笔为师,冲凿辄有使转柔毫之势;其石以水为师,点面见水墨漫漶之痕,行草之神运于篆隶,飞白之动凝于金石。百炼钢化绕指柔,千秋石现淋漓气,空间感彰进行时,刀笔水石,莫不思出其位,此邓完白或有未尽,张燕昌病于未融。而国康妙运其间,精神灿烂,奕奕纸上,于缶庐苍莽而外增其盘虬,白石劲健而外增其浑厚,或因或革,无不于物物互转之间开一生面,此国康之可睥睨当世,豪气自横者。
      易曰:君子思不出其位,而国康造艺皆具出位之思,然则国康岂君子哉,直一霸才也!
3333333333.jpg
回复 支持 反对

使用道具 举报

 楼主| 发表于 2010-10-1 21:45 | 显示全部楼层
本帖最后由 钟国康 于 2010-11-16 17:16 编辑

存我  (释文)

书之妙者  
其间固有前贤往哲在  
而尤须有活生生之自我也  

                         钟国康并记
818247757299686428.jpg
回复 支持 反对

使用道具 举报

 楼主| 发表于 2010-11-11 22:43 | 显示全部楼层
本帖最后由 钟国康 于 2010-11-16 17:18 编辑

寄缶庐 (释文)
集泰山  
石鼓意加以涨墨出之  
老缶知否  
阅者必曰  
阳春有脚  
鬼神有形
壮乎哉矣  

安吉师爷  
无目同视  
可哀矣哉  
後学国康未必大快
842454605296738826.jpg
回复 支持 反对

使用道具 举报

 楼主| 发表于 2010-11-16 17:20 | 显示全部楼层
访戴 (释文)
访戴  
王徽之居山阴  
雪夜忽忆戴安道  
乘舟往剡访之  
经宿至门即还  
曰  
乘兴而行  
兴尽而返何必见戴  
事见《世说新语.任诞》  

余千载之后  
每想见其趣也  

                    寄缶庐主国康刻30.
3758816838994347686.jpg
回复 支持 反对

使用道具 举报

 楼主| 发表于 2010-11-16 17:21 | 显示全部楼层
胸有成竹  
目无全牛
(释文)


左莊子语  
右出东坡句  
二语对仗  
皆技艺高超  
胸有成竹  
目无全牛  
文同写竹  
庖丁解牛  

盖神乎其技
余心向往之  

              国康刻
2074470578359309329.jpg
回复 支持 反对

使用道具 举报

您需要登录后才可以回帖 登录 | 快速注册

本版积分规则

本站网友发表的所有内容,均为原作者的观点,不代表书艺公社的立场及价值判断。
网友发表评论须遵守中华人民共和国各项有关法律法规;尊重网上道德,严禁发表侮辱、诽谤、教唆、淫秽内容;
承担一切因您的行为而直接或间接引起的法律责任;您在书艺公社论坛发表的言论,书艺公社有权在自身所属的网站、微信平台、自媒体等渠道保留、转载、引用或者删除;
参与论坛发帖及评论即表明您已经阅读并接受上述条款。

·版权所有2002-2019·书艺公社网(SHUFA.org) ·中国·北京·
Copyright 2002-2019 SHUFA.org, All rights reserved.
电子邮件:shufa2008@126.com

甲骨汉字对应表 | 说文解字注速查表 | 繁简字转换表 | 干支公元对照表 | 岁时表 | 常用礼语 | 中国历代年号速查表
广告服务 | 联系方式