书艺公社

 找回密码
 快速注册

快捷登录

搜索

正在浏览本主题的会员 - 0 在线 - 0 会员(0 隐身), 0 游客

  • 只有游客在线
查看: 11986|回复: 5

中國女書文化展纽约揭幕

[复制链接]
发表于 2012-4-29 05:20 | 显示全部楼层 |阅读模式

马上注册,结交更多好友,享用更多功能,让你轻松玩转社区。

您需要 登录 才可以下载或查看,没有账号?快速注册

x
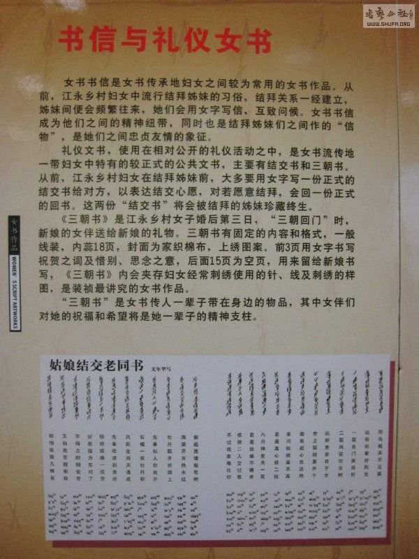
來自湖南的「女書」文化代表團23日出席「中國女書習俗文化展」剪綵儀式,並捐贈館方數十冊相關書籍。紐約市議員顧雅明獲贈一幅以「女書」文字所書寫的「服務選民,忠於職守」橫幅。他並頒發獎狀感謝代表團及包含湖南同鄉會在內的展出協辦單位。 此次展覽是繼今年聯合國中國日展出後,首次於皇后區讓民眾親身體驗人類史至今唯一的性別文字之奧妙。展覽內容包含多項書畫、文物,以及包含女紅、女歌、女字、書信、婚俗節慶等圖片展覽與介紹。湖南省永州市副市長劉尤碧於致詞中形容展出為「客觀、真實體驗一趟數千年的歷史旅行」。
119 005_1.jpg
119 002_1.jpg
119 003_1.jpg
 楼主| 发表于 2012-4-29 05:21 | 显示全部楼层
中國女書文化展纽约揭幕
119 011_1.jpg
119 012_1.jpg
119 010_1.jpg
回复 支持 反对

使用道具 举报

 楼主| 发表于 2012-4-29 05:22 | 显示全部楼层
中國女書文化展纽约揭幕
119 004_1.jpg
119 006_1.jpg
119 007_1.jpg
回复 支持 反对

使用道具 举报

发表于 2012-4-29 16:20 | 显示全部楼层
祝贺
回复 支持 反对

使用道具 举报

发表于 2012-5-12 09:36 | 显示全部楼层
回复 4# 红枫林主人


    好象看不到女书 书法作品?
回复 支持 反对

使用道具 举报

发表于 2012-5-12 16:14 | 显示全部楼层
回复 3# 纽约墨人


    很珍贵的资料啊
回复 支持 反对

使用道具 举报

您需要登录后才可以回帖 登录 | 快速注册

本版积分规则

本站网友发表的所有内容,均为原作者的观点,不代表书艺公社的立场及价值判断。
网友发表评论须遵守中华人民共和国各项有关法律法规;尊重网上道德,严禁发表侮辱、诽谤、教唆、淫秽内容;
承担一切因您的行为而直接或间接引起的法律责任;您在书艺公社论坛发表的言论,书艺公社有权在自身所属的网站、微信平台、自媒体等渠道保留、转载、引用或者删除;
参与论坛发帖及评论即表明您已经阅读并接受上述条款。

·版权所有2002-2019·书艺公社网(SHUFA.org) ·中国·北京·
Copyright 2002-2019 SHUFA.org, All rights reserved.
电子邮件:shufa2008@126.com

甲骨汉字对应表 | 说文解字注速查表 | 繁简字转换表 | 干支公元对照表 | 岁时表 | 常用礼语 | 中国历代年号速查表
广告服务 | 联系方式