书艺公社

 找回密码
 快速注册

快捷登录

搜索
查看: 5579|回复: 11

[[水墨兰亭]----------第31期出版了!

[复制链接]
发表于 2006-6-23 11:02 | 显示全部楼层 |阅读模式

马上注册,结交更多好友,享用更多功能,让你轻松玩转社区。

您需要 登录 才可以下载或查看,没有账号?快速注册

x
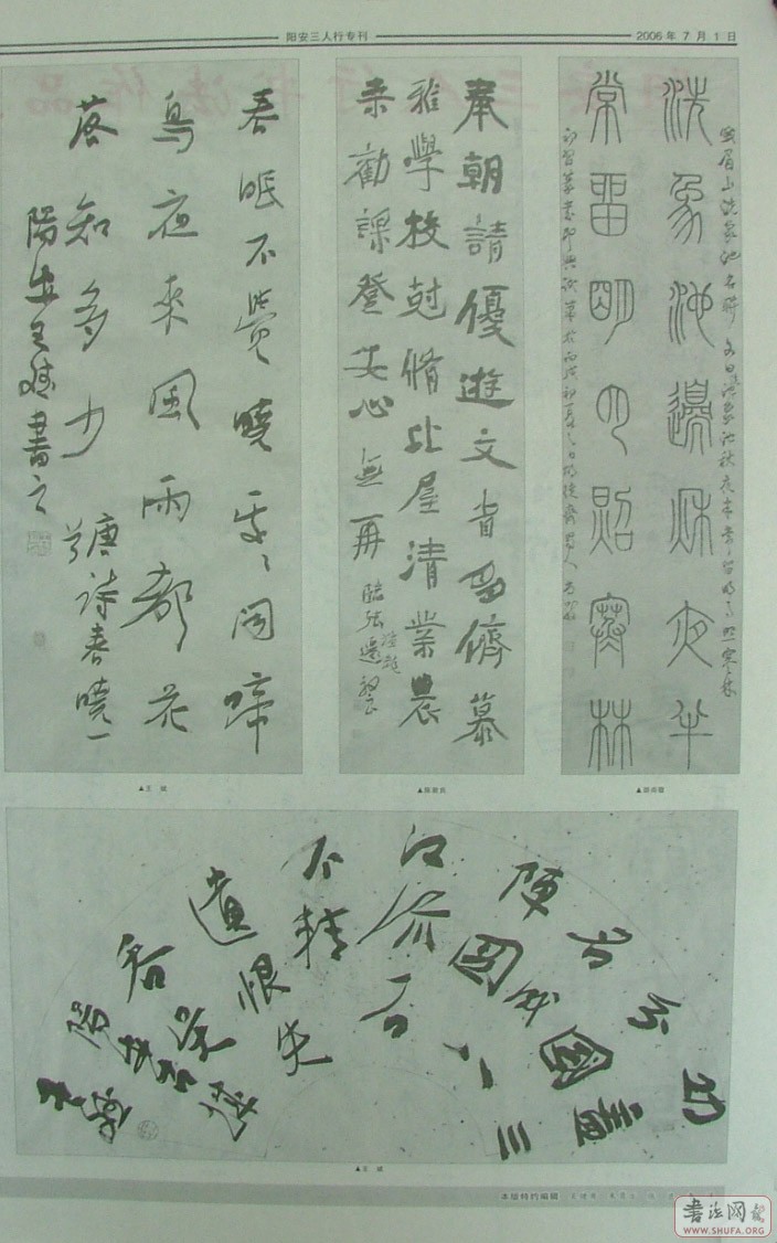
本期重点介绍,"阳安三人行"组合:胡尚敬  陈敦良   王  斌

[ 本帖最后由 牛帅兵 于 2006-7-8 21:22 编辑 ]
01.jpg
02.jpg
03.jpg
04.jpg
发表于 2006-6-23 22:54 | 显示全部楼层
局部

[ 本帖最后由 牛帅兵 于 2006-7-8 21:26 编辑 ]
jubu01.jpg
jubu02.jpg
jubu03.jpg
回复 支持 反对

使用道具 举报

 楼主| 发表于 2006-7-4 22:58 | 显示全部楼层
本周内出版!!!
回复 支持 反对

使用道具 举报

 楼主| 发表于 2006-7-6 23:59 | 显示全部楼层
明天上午出厂!!!!
回复 支持 反对

使用道具 举报

发表于 2006-7-8 12:35 | 显示全部楼层
总编上点报纸图片噻.....
回复 支持 反对

使用道具 举报

发表于 2006-7-13 18:32 | 显示全部楼层
大朴拜读!!!
回复 支持 反对

使用道具 举报

发表于 2006-7-19 16:11 | 显示全部楼层
都19号了,我还没有收到.......晕.....现在的邮局?
回复 支持 反对

使用道具 举报

 楼主| 发表于 2006-7-19 22:53 | 显示全部楼层
原帖由 yangan3 于 2006-7-19 16:11 发表
都19号了,我还没有收到.......晕.....现在的邮局?




是吗???

简直气死人呀!!!!!!!

我还怕耽误敦良的时间!!!加紧印刷!!!
已经16天了呀!!!!!!!


邮局!!真~~~
回复 支持 反对

使用道具 举报

 楼主| 发表于 2006-7-19 22:54 | 显示全部楼层
上次给河南的寄6天就到了!!

我估计4川近,应该快呀!~

没想到,这么久了还没有到!!!!

咳!!真没办法!!!
回复 支持 反对

使用道具 举报

发表于 2006-7-19 23:04 | 显示全部楼层
再等等...敦良大慨23号来拿,但愿能到, 23--29号 四川省书协将在我市举办第十期临帖班!也可能带些去.看能到否....
没办法!!!
回复 支持 反对

使用道具 举报

您需要登录后才可以回帖 登录 | 快速注册

本版积分规则

本站网友发表的所有内容,均为原作者的观点,不代表书艺公社的立场及价值判断。
网友发表评论须遵守中华人民共和国各项有关法律法规;尊重网上道德,严禁发表侮辱、诽谤、教唆、淫秽内容;
承担一切因您的行为而直接或间接引起的法律责任;您在书艺公社论坛发表的言论,书艺公社有权在自身所属的网站、微信平台、自媒体等渠道保留、转载、引用或者删除;
参与论坛发帖及评论即表明您已经阅读并接受上述条款。

·版权所有2002-2019·书艺公社网(SHUFA.org) ·中国·北京·
Copyright 2002-2019 SHUFA.org, All rights reserved.
电子邮件:shufa2008@126.com

甲骨汉字对应表 | 说文解字注速查表 | 繁简字转换表 | 干支公元对照表 | 岁时表 | 常用礼语 | 中国历代年号速查表
广告服务 | 联系方式