书艺公社

 找回密码
 快速注册

快捷登录

搜索

正在浏览本主题的会员 - 1 在线 - 0 会员(0 隐身), 1 游客

  • 只有游客在线
楼主: lhcun

[展览]

[复制链接]
发表于 2007-7-9 16:47 | 显示全部楼层
em1 em1 em1
支持家乡的活动!!!em11 em11
回复 支持 反对

使用道具 举报

 楼主| 发表于 2007-7-9 16:52 | 显示全部楼层
原帖由 孔浩 于 2007-7-9 16:47 发表
em1 em1 em1
支持家乡的活动!!!em11 em11


em13 em13 em13 em13 多谢孔兄,欢迎大作!!!!
回复 支持 反对

使用道具 举报

 楼主| 发表于 2007-7-9 16:53 | 显示全部楼层
高敬安先生参展作品


高敬安,男,l946年生于河南济源,现为中国美术家协会会员,河南省国画家协会常务理事,郑州大学聘任美术教授,山东菏泽市文博书画院特聘高级画师。
  高先生,山水、花鸟皆能,其作品入编《中国画三百家》、《全国山水名家画稿》、《全国名家花鸟画精品集》、《全国首届中国美协会员精品集》以及《国画家》、《美术》、《收藏与鉴赏》等美术专业画刊杂志五十余部,经全国文联评为全国画坛百杰画家之一。
高敬安先生参展作品.JPG
回复 支持 反对

使用道具 举报

发表于 2007-7-9 17:34 | 显示全部楼层
提示: 作者被禁止或删除 内容自动屏蔽
回复 支持 反对

使用道具 举报

发表于 2007-7-12 13:04 | 显示全部楼层
原帖由 盛涛书画 于 2007-7-9 17:34 发表
em1 em1 em1 em1 支持
严重支持.

em13 em13 em13 em13 多谢支持!!
回复 支持 反对

使用道具 举报

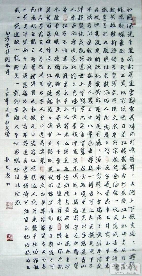
发表于 2007-7-12 14:12 | 显示全部楼层
赵太忠
中将、原济南军区副政委
赵太忠题贺作品.JPG
回复 支持 反对

使用道具 举报

发表于 2007-7-12 14:12 | 显示全部楼层
张连瑞
中国美术家协会会员,原山西省希望出版社副总编辑、美术编审。
张连瑞国画作品.JPG
回复 支持 反对

使用道具 举报

发表于 2007-7-12 14:13 | 显示全部楼层
朱守道
现任全国人大常委会华侨委员会副司长,中国书法家协会理事、全国人大书画研究会副会长、北京大地书画院副院长、中央国家机关书法家协会展览部副主任。
朱守道题贺作品.JPG
回复 支持 反对

使用道具 举报

发表于 2007-7-12 14:13 | 显示全部楼层
汪易扬
中国艺术研究院离休编审,现为中国美术家协会会员、龙山艺术院终身院长。
汪易扬题贺作品.JPG
回复 支持 反对

使用道具 举报

发表于 2007-7-12 14:14 | 显示全部楼层
李 潺   
湖南省书法家协会副主席、湖南省直书画家协会主席、中国书法家协会会员,被菲律宾中华书法学会、日本尚泉书道会、加拿大世界书画家协会、中原书画研究院、徐悲鸿画院等国内外30余家艺术社团聘为顾问,现供职于湖南电视台。
李潺国画作品.JPG
回复 支持 反对

使用道具 举报

您需要登录后才可以回帖 登录 | 快速注册

本版积分规则

本站网友发表的所有内容,均为原作者的观点,不代表书艺公社的立场及价值判断。
网友发表评论须遵守中华人民共和国各项有关法律法规;尊重网上道德,严禁发表侮辱、诽谤、教唆、淫秽内容;
承担一切因您的行为而直接或间接引起的法律责任;您在书艺公社论坛发表的言论,书艺公社有权在自身所属的网站、微信平台、自媒体等渠道保留、转载、引用或者删除;
参与论坛发帖及评论即表明您已经阅读并接受上述条款。

·版权所有2002-2019·书艺公社网(SHUFA.org) ·中国·北京·
Copyright 2002-2019 SHUFA.org, All rights reserved.
电子邮件:shufa2008@126.com

甲骨汉字对应表 | 说文解字注速查表 | 繁简字转换表 | 干支公元对照表 | 岁时表 | 常用礼语 | 中国历代年号速查表
广告服务 | 联系方式