书艺公社

 找回密码
 快速注册

快捷登录

搜索

正在浏览本主题的会员 - 0 在线 - 0 会员(0 隐身), 0 游客

  • 只有游客在线
楼主: 曾如影

倡议:九届国展遗珠展

[复制链接]
发表于 2007-10-17 20:59 | 显示全部楼层
在这里看到的几件遗珠的确比入展的有些好的多,国展的评委就这水平?遗憾.阿弥陀佛.
回复 支持 反对

使用道具 举报

发表于 2007-10-17 21:03 | 显示全部楼层

8 X, M" i% P: N) X那最后也只会上一件吧!
回复 支持 反对

使用道具 举报

发表于 2007-10-17 21:04 | 显示全部楼层
face9 face18 em1 em13 em21 em10 em22
回复 支持 反对

使用道具 举报

 楼主| 发表于 2007-10-17 21:05 | 显示全部楼层
原帖由 刘卫东 于 2007-10-17 21:03 发表 " V7 u* x# g, l7 L" r7 b: b; m
; f4 ]0 f& q% J9 |
那最后也只会上一件吧!
/ V* T- u4 W  `6 i- P: Y8 H
是的。但这是在整理名单时才做的事。如果落选了就没有这道工序了。
回复 支持 反对

使用道具 举报

发表于 2007-10-17 21:05 | 显示全部楼层
遗憾石沉大海后,没退稿连影都没留。郁闷。但严重支持。
回复 支持 反对

使用道具 举报

发表于 2007-10-17 21:06 | 显示全部楼层
em1 em1 em1 em1 em1 em1 em1 em14 em14 em14 em14 em14
回复 支持 反对

使用道具 举报

发表于 2007-10-17 21:24 | 显示全部楼层
每届国展后均有是这样有意思吗??????????????????????????????face9 face9 face9 face9 face9 face9
回复 支持 反对

使用道具 举报

发表于 2007-10-17 22:12 | 显示全部楼层
em2 em2 em2
回复 支持 反对

使用道具 举报

发表于 2007-10-17 22:31 | 显示全部楼层
em13 em13 em13 em13 em13 em13 em13 em13 em13 em13 em13 em13 泽珊的草书漂亮em1 em1 em1 em1 em1
回复 支持 反对

使用道具 举报

发表于 2007-10-17 22:36 | 显示全部楼层
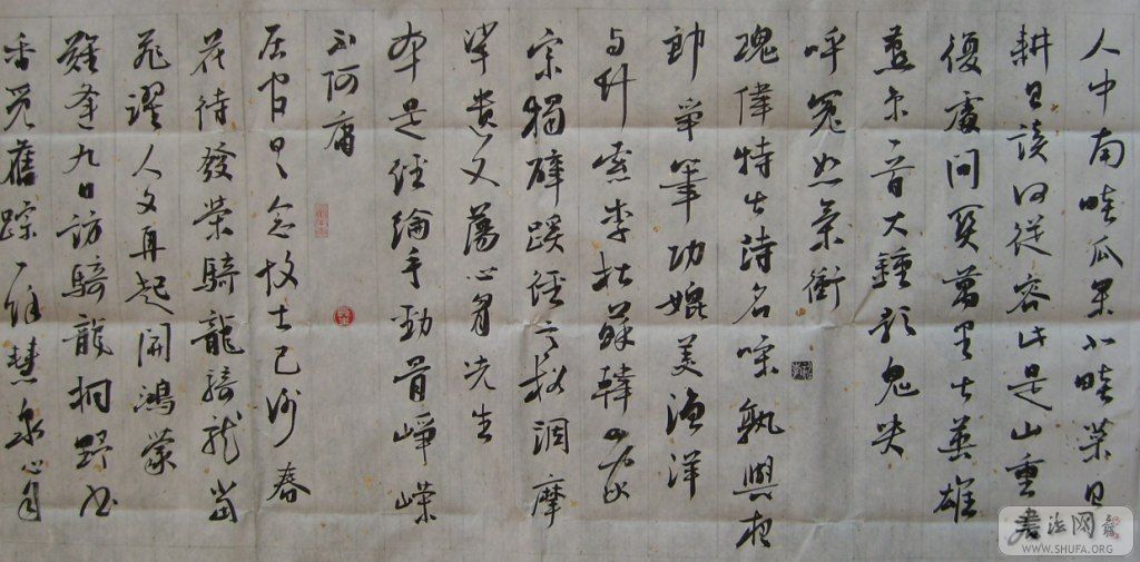
是不是写的很差!
' _) k, _2 x, Z& _- G# K( `" S我不知道该怎么写楷书.行书了
) S3 l0 @9 p" H. n( C/ Y4 }各位师兄请指一条光明大道!!!!!!!!!em6
$ g+ I- v! f" i& R" N8 }: g3 P' `0 c7 T* N
[ 本帖最后由 龙塘村夫 于 2007-10-17 23:06 编辑 ]
S6000875.JPG
S6001245.JPG
S6003961.JPG
S6003965.JPG
回复 支持 反对

使用道具 举报

您需要登录后才可以回帖 登录 | 快速注册

本版积分规则

本站网友发表的所有内容,均为原作者的观点,不代表书艺公社的立场及价值判断。
网友发表评论须遵守中华人民共和国各项有关法律法规;尊重网上道德,严禁发表侮辱、诽谤、教唆、淫秽内容;
承担一切因您的行为而直接或间接引起的法律责任;您在书艺公社论坛发表的言论,书艺公社有权在自身所属的网站、微信平台、自媒体等渠道保留、转载、引用或者删除;
参与论坛发帖及评论即表明您已经阅读并接受上述条款。

·版权所有2002-2019·书艺公社网(SHUFA.org) ·中国·北京·
Copyright 2002-2019 SHUFA.org, All rights reserved.
电子邮件:shufa2008@126.com

甲骨汉字对应表 | 说文解字注速查表 | 繁简字转换表 | 干支公元对照表 | 岁时表 | 常用礼语 | 中国历代年号速查表
广告服务 | 联系方式