书艺公社

 找回密码
 快速注册

快捷登录

搜索
查看: 6649|回复: 0

《水墨兰亭》————第62期(曾德宏) 请欣赏

[复制链接]
发表于 2008-3-14 09:26 | 显示全部楼层 |阅读模式

马上注册,结交更多好友,享用更多功能,让你轻松玩转社区。

您需要 登录 才可以下载或查看,没有账号?快速注册

x
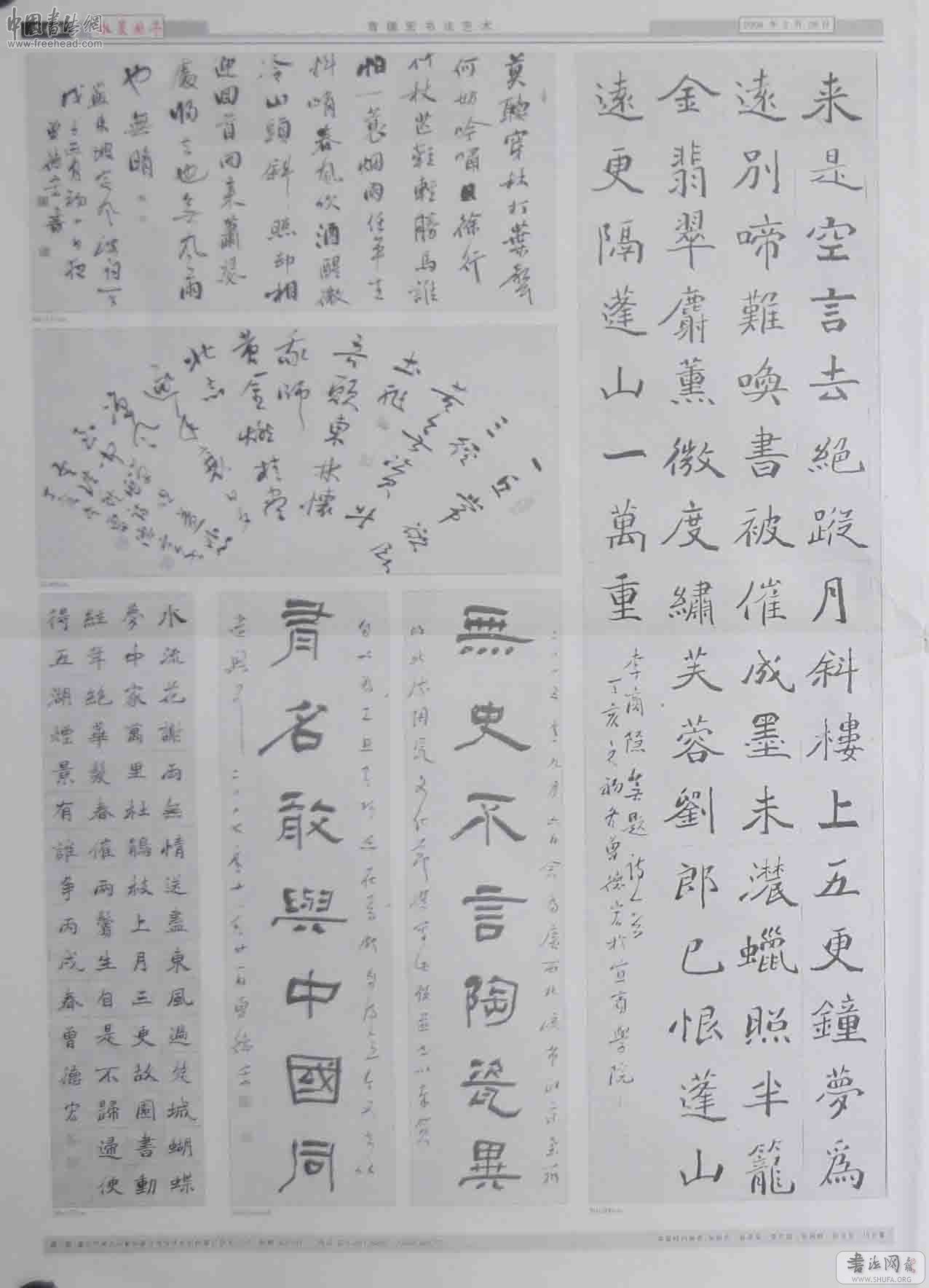
《水墨兰亭》————第62期 请欣赏本期重点介绍四川曾德宏先生书法艺术。

[ 本帖最后由 牛帅兵 于 2008-3-14 09:29 编辑 ]
001.jpg
002.jpg
003.jpg
您需要登录后才可以回帖 登录 | 快速注册

本版积分规则

本站网友发表的所有内容,均为原作者的观点,不代表书艺公社的立场及价值判断。
网友发表评论须遵守中华人民共和国各项有关法律法规;尊重网上道德,严禁发表侮辱、诽谤、教唆、淫秽内容;
承担一切因您的行为而直接或间接引起的法律责任;您在书艺公社论坛发表的言论,书艺公社有权在自身所属的网站、微信平台、自媒体等渠道保留、转载、引用或者删除;
参与论坛发帖及评论即表明您已经阅读并接受上述条款。

·版权所有2002-2019·书艺公社网(SHUFA.org) ·中国·北京·
Copyright 2002-2019 SHUFA.org, All rights reserved.
电子邮件:shufa2008@126.com

甲骨汉字对应表 | 说文解字注速查表 | 繁简字转换表 | 干支公元对照表 | 岁时表 | 常用礼语 | 中国历代年号速查表
广告服务 | 联系方式